欧氏空间的切向量空间
欧氏空间的切向量空间


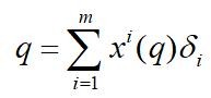
上图是以xi为函数,求出点q在基δi下的坐标xi。


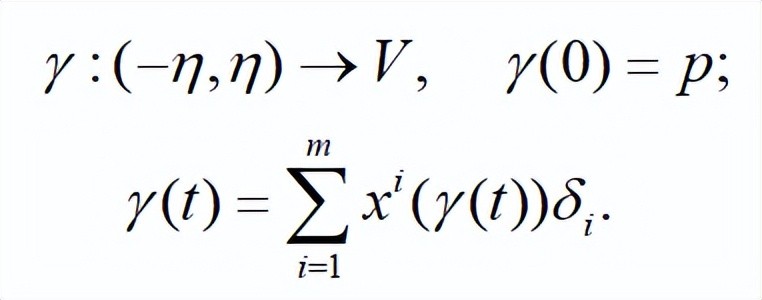
上图是对于二维欧氏空间而言。



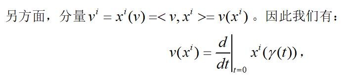
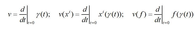
这里vi是求导后得到的结果。

这里的vi是在坐标轴xi下的坐标,而

表示一个坐标函数,这个函数以γ(t)为参数。

这里是将上面的坐标函数扩展为任意函数,它是线性的。


然而在一般微分流形上定义切向量,只能选择不够直观的第三种;原因很简单,对抽象的
微分流形上的点,不能直接求导。

无论坐标函数还是任意函数,都存在分量。
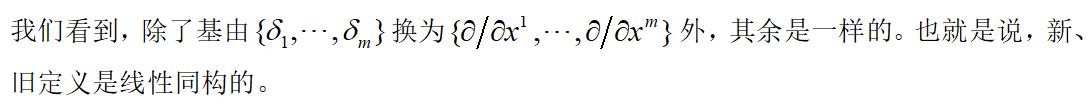
比较新、旧定义下的表达式:


最后,坐标函数和任意函数之间的差异,仅仅是基的不同而已,所以两者是同构的。
