模拟量换算公式怎么推导出来的(模拟量转换公式不用记,随手就可写出来)
模拟量换算公式怎么推导出来的(模拟量转换公式不用记,随手就可写出来)
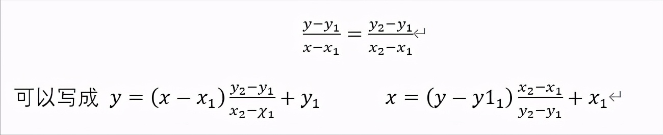
我们在初中学过两点式公式,就是已知两个点坐标(x1, y1) (X2 ,Y2),可以写出任意一点(x,y)的表达式:如下图

可以理解为—每x点的y 值是(y2-y1)/(x2-x1),
则某个X点对应的Y值是再乘以(x-x1)再加上y的最小值y1
也就是是说,知道X值,则(x2-x1)在下方,求y
知道y值,则(y2-y1)在下方,求X
理解了公式的含义,就可以写出公式了

对于西门子PLC 200Smart或1200模拟量测量,不管是电压,或电流(0—20mA )信号,到PLC内都转化为0—27648
它有二个已知点:
0—对应—工程最小值,即(0,工程最小值), 相当于(x1, y1)
27648 —-对应–工程最大值,即(27648,工程最大值)相当于(x2,y2)
则, 测量值AIW—对应 实测工程值,相当于(x, y)则
实测工程值=(测量值AIW-0)*(工程最大值-工程最小值)/(27648-0) +工程最小值
反过来:已知工程设定值,求模拟量输出AQW
模拟量输出AQW=(工程设定值-工程最小值)*(27648-0)/(工程最大值-工程最小值)+0
举例1:某测温度传感器,测量范围(20—120)度,接到PLC 200Smart模拟量模块上,实测值
则 实测工程值=(测量值AIW-0)*(120-20)/(27648-0) +20
举例2:某控制变频器,(0-10)V对应速度(10—1500)转,如设定760转,求模拟量输出
输出AQW=(760-10)*(27648-0)/(1500-10) +0=13916
输出电压=(13916-0)*(10-0)/(27648-0) +0=5.03V